
Loading…

ABOUT US
Mission Statement
To ensure the Government's financial integrity and promote an efficient, effective and accountable government.
Establish and provide a uniform financial system and control for organizational units of the government; provide accurate and timely financial information for effective management in compliance with statutory mandates and requirements.
Activity Description
Article 2 of Chapter 22 of Title V of the Guam Code Annotated the Department of Administration as the Central Accounting Office of the Government of Guam, which will constitute the central accounting agency responsible for administration of all internal activity within the Government of Guam.
Public Law 13-96 further defined the agencies (and their funds) for which the Department performs the central accounting responsibilities of 38 different departments.
Major Objective(s)
The Department of Administration is charged to provide for a uniform financial management system and the related system of internal accounting controls for line organizations of the government to provide accurate and timely financial information for management and analyze interpret these for compliance with statutory requirements.
To accomplish these objectives, the Division provides the following services; (a) systems management and technical support. (b) payroll accounting and services. (c) appropriation and encumbrance accounting. (d) financial reporting. (e) records management. (f) accounts payable and receivable. (g) cash management. (h) accounting of federal grants and contracts. (i) bank reconciliations. (j) maintenance of subsidiary ledgers. (k) fixed assets accounting. (l) debt service management. (m) capital budget accounting, and (n) revenue forecasting for internal purposes.
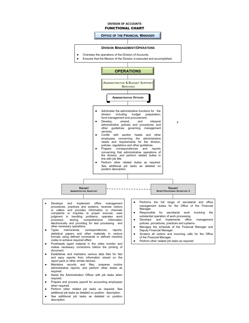
Functional Charts
Branches
Financial Management System-Wide Operations Support and Control Unit
Responsibilities of this branch include but is not limited to: advising agencies and coordinating their activites on financial management matters such as consolidating and modernizing financial systems, improving the quality of financial data and information standards, strengthen internal controls and developing legislation affecting financial operations and organizations.
Appropriation/ Management Reports Branch
Responsibilities of this branch include but is not limited to: processing payments, labor cost journal vouchers and preparation of financial reports.
General Leader - Local Accounts Receivable/ C&Q Accounting/ Bank Reconciliation/ Single Audit Compliance/ Travel/ Fixed Assets & Property Managment Branch
Responsibilities of this branch include but is not limited to: establishing/maintaining subsidiary receivable ledgers, process check reissuances, post journal vouchers, bank reconciliation, and process travel requests.
Revenue Accounting/ CIP Bonds Reporting/ Contracts Registration/ Quality Control Branch
Responsibilities of this branch include but is not limited to: record revenue, reconcile/maintain revenue long-term debt liabilities and bond accounts, register/maintain contracts and record/maintain all requisitions.
Federal Grants Management and Compliance/ Accounts Payable Branch
Responsibilities of this branch include but is not limited to determining policies, procedures and interpretting laws, circulars, and executive orders.
Financial Management (Treasury) Branch
Responsibilities of this branch include but is not limited to: maintain daly cash collection/deposit activities, perform electronic transfers, issue/distribute Government of Guam checks.
Payroll Accounting Services Branch
Responsibilities of this branch include but is not limited to assisting the Financial Manager/ Deputy Financial Manager/ and/or Controller in deterring laws, circulars, and executive orders.











